اعتمد الدكتور أحمد الأنصاري محافظ الجيزة التعريفة الجديدة لسيارات السرفيس والنقل الجماعي الداخلية والخارجية والتي سيتم تطبيقها اعتبارًا من اليوم وذلك في ضوء قرار لجنة التسعير التلقائي للمنتجات البترولية بوزارة البترول بتحريك أسعار المنتجات البترولية.
أوضح الدكتور أحمد الأنصاري أن اللجنة التي تم تشكيلها لتعديل تعريفة الركوب أخذت في اعتبارها مسافة كل خط سير وعدد الرحلات لتحقيق العدالة كما نسقت تعريفات خطوط السير لسيارات السرفيس الخارجية مع المحافظات المجاورة لضمان توحيد التعريفة.







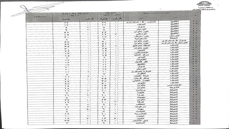
ملصقات بالتعريفة الجديدة على السيارات
كلف محافظ الجيزة جهاز السرفيس والأحياء بطباعة ملصقات وبانرات بالتعريفة الجديدة والالتزام بنشرها بالمواقف وتعليقها في مكان واضح للمواطنين والسائقين.
شدد على ضرورة التأكد من وضع الملصق الخاص بسيارات السرفيس والنقل الجماعي والذي يتضمن خط السير والأجرة المقررة وفقًا للزيادات الجديدة وذلك لمنع زيادة تعريفة الركوب بصورة منفردة أو تقسيم خطوط السير.
رقابة لضمان عدم استغلال المواطنين
وجه محافظ الجيزة الأجهزة المعنية من جهاز السرفيس وإدارة المرور ورؤساء الأحياء بالرقابة والمتابعة على مدار الساعة للتأكد من الالتزام بالتعريفة الجديدة وعدم استغلال المواطنين.
كما وجه بالحسم في تطبيق التسعيرة الجديدة وتوقيع غرامات فورية ورادعة ضد المخالفين موضحًا أن غرفة العمليات الرئيسة بالمحافظة منعقدة على مدار الساعة بحضور الجهات المعنية معلنًا أرقام الطوارئ التالية لاستقبال أي بلاغات تخص التسعيرة الجديدة على الخطوط التالية 33465048 / 33465046 بالإضافة إلى خدمة الواتساب على الرقم 01016050453.

